Csa Of Cylinder / Example 4 Mayank Made A Bird Bath For His Garden Examples : So the csa of a cylinder will be:. Total surface area of a hollow cylinder: Csa of cylinder = 4400 sq.cm Remember from above, i said you needed to know port volume and average runner length! Mehr als 200.000 inserate aus über 2.000 kategorien online! The base is a circle, so its area is π * r² (which you need to multiply by 2, after all there is the base and the top).

Area (tsa)includes the areaof the circular top and base, as well as the curved surface area (csa). Although cylinders may take many various forms, the term cylinder usually means the right circular cylinder. Ab 51,50 € versandkostenfrei bestellen. The csa of cylinder having its base radius 'r' and height 'h' is given by: You can calculate csa in various measurements such as millimeter, centimeter, feet, kilometer and so on.

1
1 from
17 lines (13 sloc) 365 bytes. Curved surface area (csa) of cylinder = 2πrh total surface area (tsa) of cylinder = 2πr (h + r) Mit über 7 millionen monatlichen besuchern und 8.100 verkäufern die nr. Find its height and diameter. (¡) csa of the cylinder (¡¡)base area of cylinder (¡¡¡)tsa of cylinder (¡v) volume of a cylinder frndsss plzz make it fast ️ ️ 2 see answers ap1861450 ap1861450 answer: For getting csa of a cylinder, wrap a sheet of paper around the can and tape it together. Pi = 3.14 (archimede's constant) h = height of the cylinder (or length) r = outside radii r = inside radii have a look here for more in depth explanation curved surface ar. Mehr als 200.000 inserate aus über 2.000 kategorien online!

Let the external radius, the internal radius and the height of the hollow cylinder be , and h respectively.

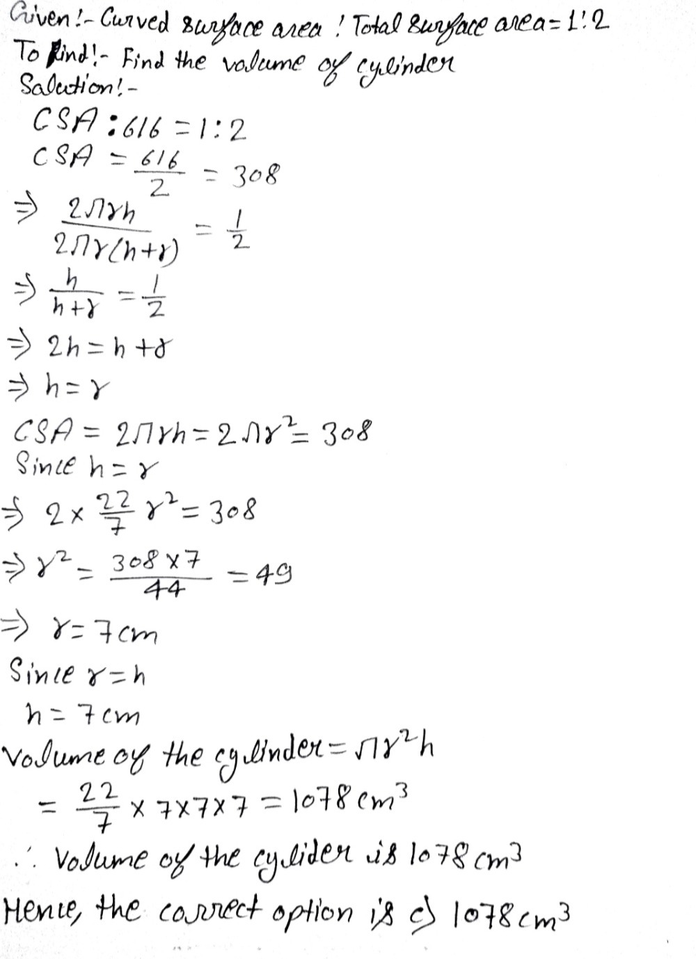
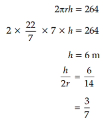
The formula for a curved area or lateral area is given by; 17 lines (13 sloc) 365 bytes. It is the area of the curved area of the cylin. Curved surface area and circumference at the base of a solid right circular cylinder are 4400 sq.cm and 110 cm respectively. 2πr is the circumference of the circle and h is the height. Whereas the oblique cylinder is another type of cylinder, which does not have parallel bases and resembles a tilted structure. Online calculators and formulas for a cylinder and other geometry problems. The total surface area is the sum of both the curved surface area and the lateral surface area. Curved surface area (csa) is the measurement of the curved portion of the elliptical cylinder without including its base and top. For getting csa of a cylinder, wrap a sheet of paper around the can and tape it together. Area (tsa)includes the areaof the circular top and base, as well as the curved surface area (csa). Although cylinders may take many various forms, the term cylinder usually means the right circular cylinder. It is also called as lateral surface area (lsa).

Calculator online for a circular cylinder. Let the external radius, the internal radius and the height of the hollow cylinder be , and h respectively. Hence, csa of cylinder is 704 sq.cm. For getting csa of a cylinder, wrap a sheet of paper around the can and tape it together. This area can be of two types:

Surface Area Of A Cylinder Explanation Examples
Surface Area Of A Cylinder Explanation Examples from www.storyofmathematics.com
Alle zylinder sind auch gleichschließend kombinierbar. So the csa of a cylinder will be: The length of the port is from the port mounting flange (like the intake manifold flange on head) to the valve seat plane, in inches. Most sbc cylinder heads are in the 5.45 port length. Curved surface area (csa) of cylinder the curved surface area of a cylinder is defined as the area of its curved surface or the area obtained after excluding the area of its two circular bases. Total surface area of a hollow cylinder: To calculate the surface area of a cylinder, you need to find the base area (b) and curved surface area (csa). The base is a circle, so its area is π * r² (which you need to multiply by 2, after all there is the base and the top).

Accordingly, what is the csa of a hollow cylinder?

Curved surface area(csa) of cylinder = total surface area(tsa) of cylinder: 2πr is the circumference of the circle and h is the height. Area (tsa)includes the areaof the circular top and base, as well as the curved surface area (csa). (¡) csa of the cylinder (¡¡)base area of cylinder (¡¡¡)tsa of cylinder (¡v) volume of a cylinder frndsss plzz make it fast ️ ️ 2 see answers ap1861450 ap1861450 answer: The area of the circle of the cylinder is πr². Port volume cc's = min csa x port length x 16.387; Csa of cylinder = 4400 sq.cm For getting csa of a cylinder, wrap a sheet of paper around the can and tape it together. This area can be of two types: A is the right answer. Accordingly, what is the csa of a hollow cylinder? Calculator online for a circular cylinder. The volume and curved surface area (csa) can be calculated using the height and radius of the cylinder.

Although cylinders may take many various forms, the term cylinder usually means the right circular cylinder. Csa of cylinder = 704 sq.cm. A right cylinder of radius 7cm and height 14cm find: This video shows the comparison between the csa of a cylinder to the area of a rectangle, made by folding a congruent rectangle into a cylinder. The curved surface area of a cylinder (csa) is defined as the area of the curved surface of any given cylinder having base radius 'r', and height 'h', it is also termed as lateral surface area (lsa).

Experts Could You Please Tell Me Why We Are Not Considering The Area Of The Bottom Of The Cylinder In Maths 13445755 Meritnation Com
Experts Could You Please Tell Me Why We Are Not Considering The Area Of The Bottom Of The Cylinder In Maths 13445755 Meritnation Com from s3mn.mnimgs.com
Curved surface area (csa) is the measurement of the curved portion of the elliptical cylinder without including its base and top. The area of the circle of the cylinder is πr². The base is a circle, so its area is π * r² (which you need to multiply by 2, after all there is the base and the top). Calculate the unknown defining surface areas, height, circumferences, volumes and radii of a capsule with any 2 known variables. Hence, csa of cylinder is 704 sq.cm. The area of two circles will be 2πr². This video shows the comparison between the csa of a cylinder to the area of a rectangle, made by folding a congruent rectangle into a cylinder. Find its height and diameter.

For getting csa of a cylinder, wrap a sheet of paper around the can and tape it together.

Curved surface area (csa) of cylinder the curved surface area of a cylinder is defined as the area of its curved surface or the area obtained after excluding the area of its two circular bases. Port volume cc's = min csa x port length x 16.387; Area (tsa)includes the areaof the circular top and base, as well as the curved surface area (csa). Our surface area of a cylinder calculator is dedicated to this type of cylinders. Mit über 7 millionen monatlichen besuchern und 8.100 verkäufern die nr. Most sbc cylinder heads are in the 5.45 port length. The csa of cylinder having its base radius 'r' and height 'h' is given by: The total surface area is the sum of both the curved surface area and the lateral surface area. Alle zylinder sind auch gleichschließend kombinierbar. The curved surface are (csa) can only be calculated for 3d figures which has a curve (hemisphere, cone etc). The formula for a curved area or lateral area is given by; For getting csa of a cylinder, wrap a sheet of paper around the can and tape it together. If you want to know the entire surface area of the cylinder, you need to add the area of the base and the top.

Although cylinders may take many various forms, the term cylinder usually means the right circular cylinder csa. The area of the circle of the cylinder is πr².